콘텐츠로 이동

트리 기반 모델

설계 사상

로지스틱 회귀는 변수들의 선형 결합만 학습할 수 있다. 현실의 신용 리스크가 직선 하나로 나뉠 리가 없으므로, WoE 변환이라는 수동 비선형화가 필요했다. Decision Tree는 이 한계에 대한 가장 직관적인 답이다 — "변수 X가 임계점 t보다 큰가?"라는 질문을 반복하면, 어떤 비선형 관계든 자동으로 포착할 수 있다.

게다가 단일 트리는 사람이 읽을 수 있다. 분기 조건을 위에서 아래로 따라가면, "왜 이 고객이 Bad인가"를 설명할 수 있다. 비선형성과 해석 가능성을 동시에 가진 유일한 구조다. 다만 그 대가로 불안정성(High Variance)이라는 치명적 약점을 안고 있고, 이것이 다음 장의 앙상블로 이어지는 출발점이 된다.


1.1 CART (Classification And Regression Trees)

Decision Tree 알고리즘 중 가장 대표적인 것이 CART다. Leo Breiman이 1984년에 제안했으며, 이후 Bagging, Random Forest, Boosting 등 모든 트리 기반 앙상블의 기초가 된다.

트리의 구조

CART는 재귀적 이진 분할(Recursive Binary Splitting)로 Feature Space를 직사각형 영역들로 나눈다. 아래 그림은 2차원 공간에서의 분할과 대응하는 트리 구조를 보여준다.

Decision Tree의 Feature Space 분할과 트리 구조
Feature Space의 축 정렬(axis-aligned) 분할과 대응하는 트리 구조. Hastie et al. (2009) The Elements of Statistical Learning Figure 9.2에서 영감을 받아 재구성.
용어 의미
Root Node 최상단 노드. 전체 데이터에서 첫 번째 분할
Internal Node 중간 노드. 조건에 따라 데이터를 좌/우로 분할
Leaf (Terminal Node) 끝 노드. 최종 예측값을 출력
Branch 노드 간 연결. 분할 조건의 Yes/No 경로
Depth Root에서 Leaf까지의 경로 길이

분할의 원리: "어떤 변수를, 어디서 자를 것인가"

CART는 입력 변수 중 하나를 골라 특정 기준점(threshold)에서 데이터를 둘로 나눈다. 이 과정을 재귀적으로 반복한다.

핵심 질문은 두 가지다:

  1. 어떤 변수를 선택할 것인가?
  2. 어디서 자를 것인가?

답은 간단하다 — 나눈 후 자식 노드들이 가장 "순수"해지는 분할을 선택한다. "순수하다"는 것은 한 노드 안에 같은 클래스(Good 또는 Bad)만 모여 있는 상태를 말한다.


1.2 불순도 측정: Gini vs Entropy

노드의 "순수함"을 수치화하는 두 가지 대표 지표가 있다.

Gini Impurity (지니 불순도)

\[ \text{Gini}(t) = 1 - \sum_{k=1}^{K} p_k^2 \tag{1} \]
  • \(p_k\): 노드 \(t\)에서 클래스 \(k\)의 비율
  • 이진 분류에서: \(\text{Gini}(t) = 1 - p^2 - (1-p)^2 = 2p(1-p)\)
  • 범위: 0 (완전 순수) ~ 0.5 (이진 분류에서 최대 불순)
  • 해석: 노드에서 임의로 두 샘플을 뽑았을 때, 다른 클래스일 확률

Entropy (엔트로피)

\[ \text{Entropy}(t) = -\sum_{k=1}^{K} p_k \log_2 p_k \tag{2} \]
  • 범위: 0 (완전 순수) ~ 1 (이진 분류에서 최대 불순)
  • 정보이론에서 온 개념: 노드의 불확실성(정보량)을 측정

Gini vs Entropy: 실무적 차이

Gini Impurity Entropy
범위 (이진) 0 ~ 0.5 0 ~ 1.0
계산 곱셈만 로그 연산 포함
XGBoost/LightGBM 기본값 - -
scikit-learn 기본값 Gini -
실무 차이 거의 없음 거의 없음

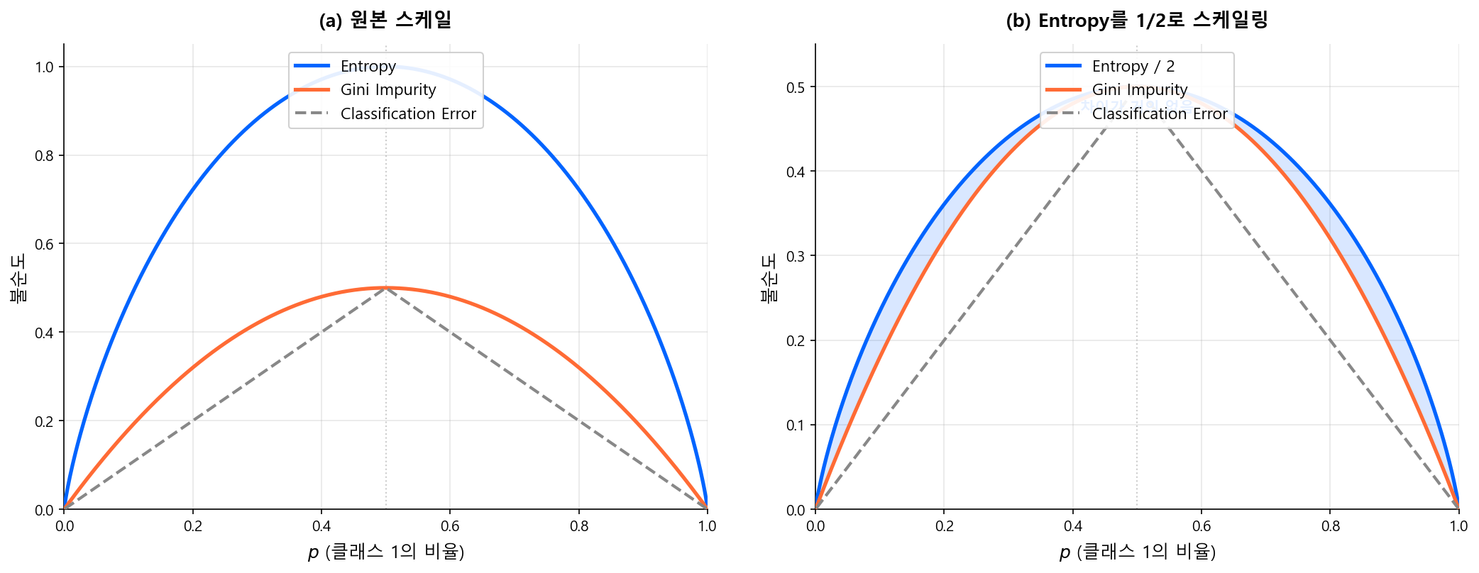
아래 그림에서 세 지표를 비교하면, Gini와 Entropy가 거의 같은 형태임을 확인할 수 있다.

Gini vs Entropy vs Classification Error 비교
세 가지 불순도 지표 비교. (b)에서 Entropy를 1/2로 스케일링하면 Gini와 거의 겹친다. James et al. (2021) An Introduction to Statistical Learning Figure 8.6에서 영감을 받아 재구성.

결론: 어느 것을 쓰든 결과는 거의 같다

Gini와 Entropy는 곡선의 형태가 매우 유사하여, 실제로 동일한 분할을 선택하는 경우가 대부분이다. scikit-learn의 기본값은 Gini이며, 이를 바꿔야 할 이유는 거의 없다.


1.3 Information Gain (정보 이득)

최적 분할은 분할 전후의 불순도 감소량이 최대인 분할이다. 이것을 Information Gain이라 부른다.

\[ \text{Gain}(t, \text{split}) = \text{Impurity}(t) - \sum_{c \in \{L,R\}} \frac{N_c}{N_t} \cdot \text{Impurity}(c) \tag{3} \]
  • \(t\): 부모 노드
  • \(L, R\): 분할 후 왼쪽/오른쪽 자식 노드
  • \(\frac{N_c}{N_t}\): 자식 노드의 샘플 비율 (가중치)

CART는 모든 변수의 모든 가능한 분할점에 대해 Gain을 계산하고, Gain이 최대인 (변수, 분할점) 조합을 선택한다.

Information Gain 계산 과정
Information Gain 계산 예시. 부모 노드의 불순도에서 자식 노드들의 가중 불순도를 뺀 값이 정보 이득이다. Mitchell (1997) Machine Learning Ch.3의 표현 방식을 참고하여 신용평가 맥락으로 재구성.

신용평가 예시

"연체일수 > 30일"로 나누면 왼쪽(30일 이하)은 Bad 5%, 오른쪽(30일 초과)은 Bad 40%로 분리된다. "소득 > 5000만원"으로 나누면 양쪽 모두 Bad 15% 내외로 비슷하다. 전자의 Information Gain이 훨씬 크므로, 트리는 연체일수를 먼저 선택한다.


1.4 Regression Tree

분류(Classification)가 아닌 회귀(Regression) 문제에서도 트리를 사용할 수 있다. 구조는 동일하되, 분할 기준과 예측값이 다르다.

Classification Tree Regression Tree
타겟 범주형 (Good/Bad) 연속형 (금액, 비율 등)
Leaf 예측값 다수결 클래스 (또는 확률) 해당 노드 샘플의 평균값
불순도 측정 Gini / Entropy MSE (Mean Squared Error)
분할 기준 Information Gain 최대화 MSE 감소량 최대화

Regression Tree의 분할 기준:

\[ \text{MSE}(t) = \frac{1}{N_t} \sum_{i \in t} (y_i - \bar{y}_t)^2 \tag{4} \]

분할 후 좌/우 자식의 가중 MSE 합이 최소가 되는 (변수, 분할점)을 선택한다.

Boosting에서의 Regression Tree

이후 다룰 Gradient Boosting에서는, 분류 문제임에도 Regression Tree를 사용한다. Boosting은 각 라운드에서 잔차(residual)를 예측하는데, 잔차는 연속값이기 때문이다. 이 점을 미리 알아두면 GBM 이해가 훨씬 수월하다.


1.5 Pruning (가지치기): 과적합 제어

트리를 제약 없이 키우면, 모든 Leaf가 순수해질 때까지 — 극단적으로는 Leaf 하나에 샘플 1개가 될 때까지 — 분할을 계속한다. 이것이 전형적인 과적합(High Variance) 상태다. Bias-Variance Tradeoff에서 다룬 바로 그 "과적합 모형"이다.

Pre-Pruning (사전 가지치기)

트리를 키우는 도중에 조건을 걸어 분할을 멈추는 방식이다.

파라미터 역할 효과
max_depth 트리의 최대 깊이 제한 가장 직관적이고 강력한 제약
min_samples_split 분할에 필요한 최소 샘플 수 작은 노드의 추가 분할 방지
min_samples_leaf Leaf의 최소 샘플 수 극단적으로 작은 Leaf 방지
max_leaf_nodes Leaf 노드의 최대 개수 트리 전체 복잡도 직접 제어
min_impurity_decrease 분할로 인한 최소 불순도 감소 Gain이 너무 작으면 분할 안 함
Pre-Pruning: max_depth에 따른 결정 경계 변화
max_depth가 너무 작으면 Underfitting, 제약이 없으면 Overfitting. 적절한 깊이 제한이 일반화 성능을 높인다. 합성 데이터(make_moons)로 시각화.

Post-Pruning (사후 가지치기)

트리를 최대한 키운 후, 성능에 기여하지 않는 가지를 잘라내는 방식이다.

Cost Complexity Pruning (CART의 기본 방식):

\[ R_\alpha(T) = R(T) + \alpha \cdot |T| \tag{5} \]
  • \(R(T)\): 트리 \(T\)의 학습 오차 (불순도 합)
  • \(|T|\): Leaf 노드 수 (트리의 복잡도)
  • \(\alpha\): 페널티 계수 — 클수록 단순한 트리를 선호

\(\alpha\)를 0에서 점차 키우면, 트리가 점점 잘려나간다. Cross-Validation으로 최적 \(\alpha\)를 선택한다.

Cost Complexity Pruning 시각화
α를 키울수록 Leaf 수가 줄어들고(좌), Test Accuracy가 최적점을 지나면 하락한다(우). 합성 데이터(make_moons)로 시각화.

Pre vs Post Pruning

실무에서는 Pre-Pruning이 압도적으로 많이 사용된다. 특히 앙상블(RF, XGBoost, LightGBM)에서는 max_depth, min_samples_leaf 등 Pre-Pruning 파라미터가 핵심 튜닝 대상이다. Post-Pruning은 단일 트리에서 주로 쓰이며, 앙상블에서는 거의 사용하지 않는다.

아래 그림은 트리 깊이에 따른 과적합 양상을 보여준다. Train Error는 깊이가 깊어질수록 계속 감소하지만, Test Error는 일정 깊이 이후 오히려 증가한다.

트리 깊이에 따른 과적합 시각화
트리 깊이에 따른 Train/Test Error 곡선과 결정 경계 변화. James et al. (2021) ISLR Figures 8.4–8.5에서 영감을 받아 합성 데이터(make_moons)로 재구성.

1.6 단일 트리의 한계

CART 단일 트리는 직관적이고 해석이 쉽다는 장점이 있지만, 실전에서는 성능이 부족하다.

한계 설명
High Variance 학습 데이터가 조금만 바뀌어도 트리 구조가 완전히 달라짐
Greedy 알고리즘 매 분할에서 최적을 선택하지만, 전역 최적이 아닐 수 있음
계단 함수 예측값이 Leaf 단위 상수 → 연속적 관계를 부드럽게 포착 못 함
성능 한계 단일 트리로는 복잡한 패턴을 충분히 학습하기 어려움

단일 트리의 장점(해석 용이)과 단점(불안정, 성능 한계)을 동시에 해결하는 것이 앙상블 기법이다.

그러나 "성능이 부족하다"는 평가가 곧 "쓸모없다"를 의미하지는 않는다. 단순함 자체가 목적인 영역에서는 단일 트리가 여전히 강력한 도구다.


1.7 단일 트리의 실무 활용: 룰 기반 시스템

왜 단일 트리가 여전히 쓰이는가

앙상블이 성능에서는 압도적이지만, 신용평가 실무에서는 "모형"이 아닌 "룰"이 필요한 영역이 존재한다. 얕은 트리(max_depth=2~3)는 사람이 읽을 수 있는 if-else 구조로 직접 변환할 수 있다는 점에서 독보적이다.

# max_depth=2 트리 → 사람이 읽을 수 있는 룰
if 연체일수 > 90:
    if 부채비율 > 300%:
        → 자동 거절 (Bad Rate 72%)
    else:
        → 심사역 검토 (Bad Rate 35%)
else:
    if 소득 < 1500만원 and 신용카드_이용건수 == 0:
        → 추가 서류 요청
    else:
        → 스코어카드 심사 진행

이러한 룰은 감사(audit) 시 "왜 이 고객을 거절했는가"를 한 줄로 설명할 수 있다. XGBoost 500그루의 앙상블로는 이것이 불가능하다.

활용 영역

용도 설명 트리 특성
사전 필터링 룰 스코어카드 진입 전 자동 거절/승인 기준 max_depth=2~3, 해석 필수
정책 룰 (Policy Rules) 규제 요건이나 리스크 정책의 명시적 구현 분기 조건 = 비즈니스 룰
고객 세분화 (Segmentation) 세그먼트별 스코어카드 적용 시 분류 기준 도출 CHAID/CART, 세그먼트 수 3~5개
Champion-Challenger 오버라이드 스코어카드 결과에 대한 보정 룰 기존 모형의 약점 보완
FDS(이상거래탐지) 룰 실시간 거래 차단 기준 속도 중요, 단순 조건

사전 필터링 룰: 스코어카드 진입 전 게이트

가장 대표적인 활용이 Application Screening이다. 스코어카드는 정교한 확률 추정 모형이지만, 명백히 고위험인 고객까지 스코어링할 필요는 없다. 단일 트리로 도출한 룰이 첫 번째 관문 역할을 한다.

필터링 룰 → 통과 → 스코어카드 → 스코어 산출 → 등급 부여 → 승인/거절

룰 vs 모형의 역할 분담

  • : 극단적 고위험/저위험 고객을 빠르게 걸러냄. 해석 가능성과 감사 추적(audit trail)이 핵심.
  • 모형(스코어카드/ML): 나머지 "회색 지대" 고객의 리스크를 정밀하게 서열화. 성능(KS/Gini)이 핵심.

둘은 경쟁이 아니라 보완 관계다. 단일 트리의 한계(성능 부족)는 모형이 보완하고, 모형의 한계(해석 어려움)는 룰이 보완한다.

고객 세분화: 세그먼트별 스코어카드의 출발점

포트폴리오 전체에 하나의 스코어카드를 적용하는 것보다, 리스크 특성이 다른 세그먼트별로 별도 스코어카드를 만드는 것이 성능이 좋은 경우가 많다. 이때 세그먼트 분류 기준을 단일 트리로 도출한다.

# 세그먼트 트리 (max_depth=2)
if 기존고객 여부 == True:
    if 거래기간 > 2년:
        → Segment A: 장기 기존고객 (전용 스코어카드 A)
    else:
        → Segment B: 신규 기존고객 (전용 스코어카드 B)
else:
    → Segment C: 신규고객 (전용 스코어카드 C)

CHAID(Chi-squared Automatic Interaction Detector)는 이 용도에 특화된 트리 알고리즘으로, 카이제곱 검정 기반으로 통계적으로 유의한 분할만 수행하여 과도한 세분화를 자동으로 방지한다.

CART vs CHAID

CART CHAID
분할 방식 이진 분할 다진 분할(Multi-way) 가능
분할 기준 Gini / Entropy 카이제곱 검정 (p-value)
정지 조건 Pre/Post Pruning 유의하지 않으면 자동 정지
주 용도 예측 모형, 앙상블 기초 세분화, 탐색적 분석

세분화 목적에서는 CHAID의 다진 분할이 더 자연스러운 경우가 많다 — "지역"이라는 변수를 이진 분할하면 {서울 vs 나머지}처럼 인위적으로 나눠야 하지만, CHAID는 {수도권, 광역시, 기타}처럼 의미 있는 그룹을 직접 만들 수 있다.

다음 섹션

단일 트리의 한계를 극복하기 위해, 다음에서는 여러 트리를 결합하는 앙상블 기법 — Bagging(Random Forest)과 Boosting의 원리를 학습한다.